Полиуретаны (ПУ) – класс полимеров, широко распространенный в различных отраслях промышленности благодаря своей универсальности и возможности адаптироваться к широкому спектру применений. От эластичных пенопластов в матрасах и автомобильных сидениях до прочных покрытий, клеев и эластомеров, полиуретаны демонстрируют впечатляющий набор свойств, которые обусловлены разнообразием их химического строения и возможностью тонкой настройки их характеристик. Ключевым элементом в создании полиуретанов с заданными свойствами являются форполимеры, также известные как преполимеры.
Формолимеры (предполимеры, преполимеры) представляют собой частично прореагировавшие полимерные цепи, содержащие реакционноспособные функциональные группы, такие как изоцианатные (-NCO). Они выступают в роли промежуточных продуктов в процессе полимеризации, позволяя контролировать структуру и свойства конечного полиуретанового материала. Использование форполимеров предоставляет ряд важных преимуществ включая:
- Улучшенный контроль над реакцией: Форполимеры позволяют более точно контролировать процесс полимеризации, избегая резкого повышения температуры и нежелательных побочных реакций.
- Более предсказуемые свойства конечного продукта: Предварительное формирование полимерной цепи с определенным молекулярным весом и составом позволяет прогнозировать и контролировать такие свойства, как эластичность, прочность на разрыв, адгезия и химическая стойкость.
- Возможность создания сложных структур: Форполимеры дают возможность синтезировать полиуретаны с более сложной архитектурой, включая сшитые полимеры, градиентные материалы и многофазные композиты.
- Упрощение технологического процесса: Использование форполимеров может упростить процесс производства полиуретановых изделий, особенно в случаях, когда необходимо точное дозирование и смешивание реагентов.
- В химии полиуретанов Форполимеры применяют для изготовления клеев, герметика, эластомеров, покрытий и грунтов.
Существует большое количество форполимеров которые различаются между собой составом. В зависимости от состава и вида компонентов, применяемых при получении преполимеров, можно добиться различных свойств. Компоненты могут задать определённый физ-мех свойства, стойкость к различным растворителям и маслам, а также стойкость к УФ-излучению.
Несмотря на частично противоречивые свойства этих веществ, зная технологические особенности и нюансы, можно добиться создания на основе форполимеров различных материалов с заранее разработанным набором необходимых свойств.
Получение форполимеров полиуретанов: методы синтеза и ключевые факторы
Синтез форполимеров полиуретанов представляет собой контролируемый процесс, направленный на частичную реакцию между полиолом и изоцианатом. Выбор метода синтеза и условий реакции играет ключевую роль в определении свойств форполимера, таких как молекулярный вес, содержание функциональных групп, вязкость и стабильность.
Изоцианатные форполимеры (NCO-форполимеры): этот метод подразумевает использование избытка изоцианата по отношению к полиолу. В результате реакции образуется форполимер, содержащий концевые изоцианатные группы (-NCO). Такие форполимеры широко используются в производстве клеев, герметиков, эластомеров и покрытий.
Процесс синтеза изоцианатного форполимера (NCO-форполимера) является наиболее распространенным. Общий процесс включает следующие этапы:
- Подготовка реагентов: Изоцианат и полиол должны быть сухими и чистыми, чтобы избежать нежелательных побочных реакций, таких как реакция с водой, приводящая к образованию диоксида углерода и снижению содержания изоцианата.
- Смешивание реагентов: Изоцианат и полиол смешиваются в реакторе при определенной температуре и перемешивании. Обычно реакцию проводят в инертной атмосфере (например, азот или аргон), чтобы предотвратить нежелательные реакции с влагой и кислородом воздуха.
- Катализ (опционально): Для ускорения реакции может быть добавлен катализатор. Типичные катализаторы включают третичные амины (например, триэтиламин, диметилциклогексиламин) и металлоорганические соединения (например, дибутилдилаурат олова). Выбор катализатора зависит от реакционной способности изоцианата и полиола, а также от желаемой скорости реакции.
- Контроль температуры: Температура реакции тщательно контролируется, чтобы поддерживать оптимальную скорость реакции и предотвратить нежелательные побочные реакции. Слишком высокая температура может привести к образованию аллофанатов и биуретов, что ухудшает свойства конечного продукта.
- Контроль степени завершения реакции: Реакцию обычно останавливают, когда достигается желаемое содержание изоцианатных групп (-NCO), которое определяется титрованием или другими аналитическими методами.
- Охлаждение и упаковка: После завершения реакции форполимер охлаждают и упаковывают в герметичные контейнеры для предотвращения контакта с влагой и сохранения его реакционной способности.
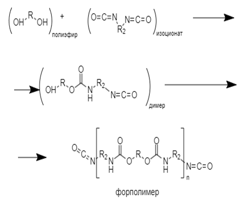
Полиуретановые преполимеры представляют собой продукты взаимодействия(реакции) алифатических и/или ароматических диизоционатов с длинноцепочечными полиолами, чаще всего простыми полиэфирами. Химическая структура представлена на Рисунке 1.

Рисунок 1-Химическая структура полиуретанового форполимер.
Реакция взаимодействия изоцианатов с ди- и полигидрокси содержащими соединениями протекает без образования промежуточных продуктов по ступенчатому механизму и происходит в результате миграции подвижного атома водорода гидроксильной группы к атому азота изоциановой группы. Далее свободные гидроксильные группы образовавшегося диуретана реагируют с изоцианатными группами молекул диизоцианата. Этот процесс продолжается до тех пор, пока в реакции не израсходуются какие-либо из групп. После окончания реакции преполимер будет представлять собой вязкую жидкость.
Процесс реакции представлен на Рисунке 2

Рисунок 2 – схематический процесс реакции получения преполимера
Контроль качества форполимеров:
Для обеспечения стабильности и предсказуемости свойств конечных полиуретанов необходимо проводить контроль качества форполимеров. Типичные параметры, подлежащие контролю, включают:
- Содержание изоцианатных групп (-NCO): Определяется титрованием или другими аналитическими методами. Доля или процентное содержание изоцианатных групп будет показывать количество свободных(готовых к реакции) изоцианатных групп. Чем выше это значение (чем больше доля изоцианатных групп в преполимере) тем реактивная способность преполимера будет выше. Также данный показатель влияет на конечные свойства продукта, полученного при использовании преполимера. Чем выше изоцианатное число тем более твердым, жестким и менее эластичным будет конечный продукт, и наоборот чем ниже будет изоцианатное число тем выше эластичность и ниже твердость
- Вязкость: Вязкость жидкости - это мера ее сопротивления деформации с заданной скоростью. Измеряется с помощью вискозиметра.
- Содержание влаги: Определяется методом Карла Фишера.
- Молекулярный вес (Mn, Mw, PDI): Определяется методом гель-проникающей хроматографии (GPC).
- Цвет и внешний вид: Визуальная оценка.
В заключение, получение форполимеров полиуретанов – это сложный процесс, требующий тщательного контроля условий реакции и выбора оптимальных реагентов и катализаторов. Понимание ключевых факторов, влияющих на процесс синтеза, позволяет создавать форполимеры с заданными свойствами, которые затем используются для производства широкого спектра полиуретановых материалов.
В зависимости от применяемых, в процессе изготовления формолимера, полиэфира и изоцианата, он будет приобретать различные свойства и характеристики.
Реактивность преполимера будет зависеть, по большей части, от природы изоцианата. Изоцианаты, которые менее стерически затрудненные, как МДИ, являются самыми реактивными. ТДИ и изофорондиизоцианат, являются асимметричными молекулами, и самая реактивная изоцианатная группа используется для формирования преполимера, придавая конечной матрице более низкую общую реактивность. Это сводит к минимуму реактивность преполимера с не прореагировавшим полиолом, и замедляет скорость инициации дальнейшей полимеризации, что приводит к созданию макромолекул с более высокой молекулярной массой. Это также приводит к образованию более узкого распределения молекулярных масс и более низкой вязкости.
Влияние полиэфиров и изоцианатов на свойства форполимеров полиуретанов
Выбор полиэфира и изоцианата является определяющим фактором в процессе синтеза форполимеров полиуретанов, оказывая существенное влияние на их физико-химические свойства, реакционную способность и, в конечном итоге, на характеристики конечных полиуретановых материалов. Рассмотрим влияние этих компонентов более подробно:
1. Влияние полиэфиров:
Полиэфиры являются одним из наиболее распространенных типов полиолов, используемых в производстве форполимеров полиуретанов. Они представляют собой полимеры, содержащие эфирные связи (-C-O-C-) в основной цепи. Свойства полиэфиров, такие как молекулярный вес, функциональность (количество гидроксильных групп на молекулу), тип концевых групп и структура цепи, существенно влияют на свойства форполимера и конечного полиуретана.
Тип полиэфира: Существует несколько основных типов полиэфиров, включая:
- Полиэтиленгликоль (ПЭГ): Гидрофильный полиэфир, обеспечивающий хорошую совместимость с водой и другими полярными растворителями. ПУ на основе ПЭГ обладают хорошей эластичностью и адгезией, но могут быть подвержены гидролизу.
- Полипропиленгликоль (ППГ): Более гидрофобный, чем ПЭГ, обеспечивает хорошую устойчивость к гидролизу и хорошие диэлектрические свойства. ПУ на основе ППГ обычно обладают хорошей эластичностью и гибкостью.
- Политетраметиленгликоль (ПТМГ): Обладает превосходной эластичностью, морозостойкостью и устойчивостью к гидролизу. ПУ на основе ПТМГ часто используются в производстве высококачественных эластомеров и термопластичных полиуретанов (ТПУ).
- Сополиэфиры: Комбинация различных мономерных звеньев (например, этиленоксида и пропиленоксида) позволяет получить полиэфиры с заданными свойствами, такими как гидрофильность/гидрофобность, эластичность и прочность.
Также отмечают:
- Молекулярный вес полиэфира: Молекулярный вес полиэфира влияет на молекулярный вес форполимера и, следовательно, на его вязкость и реакционную способность. Более высокий молекулярный вес обычно приводит к более высокой вязкости и снижению реакционной способности. В конечном полиуретане более высокий молекулярный вес полиэфира способствует увеличению эластичности и снижению твердости.
- Функциональность полиэфира: Функциональность полиэфира (количество гидроксильных групп на молекулу) определяет степень сшивания полиуретановой сетки. Дифункциональные полиэфиры приводят к линейным полиуретанам, а полифункциональные полиэфиры (с функциональностью больше 2) приводят к сшитым полиуретанам. Чем выше степень сшивания, тем выше твердость, прочность и химическая стойкость полиуретана, но снижается эластичность.
- Структура цепи полиэфира: Линейные полиэфиры обеспечивают большую гибкость и эластичность полиуретана, в то время как разветвленные полиэфиры увеличивают твердость и прочность.
2. Влияние изоцианатов:
Изоцианаты являются вторым ключевым компонентом в синтезе форполимеров полиуретанов. Они содержат изоцианатную группу (-N=C=O), которая реагирует с гидроксильными группами полиолов с образованием уретановой связи (-NH-CO-O-). Тип изоцианата, его реакционная способность и структура оказывают значительное влияние на свойства форполимера и конечного полиуретана.
Тип изоцианата: Наиболее распространенные изоцианаты включают:
- Тoлуилендиизоцианат (TDI): Он известен своей высокой реакционной способностью и относительно низкой стоимостью, что делает его популярным выбором для многих применений. Используется в производстве покрытий и эластомеров, требующих высокой светостойкости.
- Дифенилметандиизоцианат (MDI): Менее токсичен, чем TDI, и обеспечивает хорошие механические свойства полиуретанов. Существуют различные изомеры MDI (например, 4,4’-MDI и 2,4’-MDI), которые влияют на реакционную способность и свойства конечного полимера.
- Гексаметилендиизоцианат (HDI): Алифатический изоцианат, обеспечивающий высокую устойчивость к ультрафиолетовому излучению и пожелтению. Используется в производстве покрытий и эластомеров, требующих высокой светостойкости.
- Полимерный дифенилметандиизоцианат (PMDI): PMDI широко используется в производстве полиуретановых материалов и имеет ряд важных характеристик, отличающих его от мономерного MDI. Используется в производстве покрытий, клеев и эластомеров.
Также отмечают:
- Реакционная способность изоцианата: Реакционная способность изоцианата зависит от его структуры и электронных свойств. Ароматические изоцианаты (TDI, MDI) обычно более реакционноспособны, чем алифатические изоцианаты (HDI, IPDI). Более высокая реакционная способность может привести к более быстрой полимеризации и образованию более плотной сетки, что повышает твердость и прочность полиуретана.
- Функциональность изоцианата: Большинство изоцианатов являются дифункциональными, то есть содержат две изоцианатные группы на молекулу. Однако существуют и полифункциональные изоцианаты, такие как полимерный MDI (PMDI), которые содержат более двух изоцианатных групп и приводят к образованию более сильно сшитых полиуретанов.
Влияние структуры изоцианата на свойства полиуретана:
Ароматические изоцианаты (TDI, MDI): Обеспечивают высокую прочность и твердость полиуретанов, но могут быть подвержены пожелтению под воздействием ультрафиолетового излучения.
Алифатические изоцианаты (HDI, IPDI): Обеспечивают высокую устойчивость к ультрафиолетовому излучению и пожелтению, а также хорошую химическую стойкость. Однако они обычно менее реакционноспособны и обеспечивают более низкую прочность и твердость полиуретанов по сравнению с ароматическими изоцианатами.
3. Взаимосвязь между полиэфиром и изоцианатом:
Взаимодействие между выбранным полиэфиром и изоцианатом играет решающую роль в определении свойств форполимера и конечного полиуретана. Например, комбинация гибкого полиэфира (например, ПТМГ) с алифатическим изоцианатом (например, HDI) может привести к образованию эластичного и светостойкого эластомера. В то время как комбинация жесткого полиэфира (например, полиэстерполиола) с ароматическим изоцианатом (например, MDI) может привести к образованию твердого и прочного покрытия.
Выбор полиэфира и изоцианата является ключевым фактором в процессе синтеза форполимеров полиуретанов. Тип, молекулярный вес, функциональность и структура полиэфира, а также тип и реакционная способность изоцианата оказывают существенное влияние на свойства форполимера и конечного полиуретана. Тщательный выбор этих компонентов позволяет создавать полиуретановые материалы с заданными свойствами, отвечающими требованиям конкретного применения. Понимание этих взаимосвязей является основой для разработки новых и улучшенных полиуретановых продуктов.
Компания Ecotermix предлагает широкий перечень полиуретановых преполимеров, применяемых в различных сферах деятельности, представлены в таблице 1.
Таблица 1
|
Наименование преполимера |
Динамическая вязкозть |
Плотность |
Массовая доля NCO-групп |
Область применения |
|
|
мПа∙с, при 25 оС |
кг/м3, при 25 оС |
% |
|||
|
Преполимеры на MDI Представляет из себя бесцветную или желтоватую вязкую жидкорсть |
|||||
|
ЭТМ Е2276 |
3500±1000 |
1,1-1,25 |
10±0,5 |
Предназначен для производства эластичных покрытий. |
|
|
ЭТМ Е21 |
3400±1300 |
0,95-1,2 |
15±1 |
Применяется в качестве связующего для антикорозийных покрытий |
|
|
ЭТМ -М25 |
7000±1500 |
1,1-1,25 |
4.0±0,5 |
Форполимер на основе полиэфира для гибких покрытий и мембран |
|
|
ЭТМ Е23 |
1800±400 |
0,95-1,2 |
16±1 |
Связующий компонент для однокомпонентных покрытий, отверждаемых влагой, таких как грунтовки и герметики. |
|
|
ЭТМ Е22
|
3000±500 |
0,95-1,2 |
8,0 ± 0,5 |
Для производства эластичных полиуретановых материалов, как однокомпонентных, так и двухкомпонентных, используемых в качестве покрытий и клеев |
|
|
ЭТМ Е29
|
500±200 |
0,95-1,2 |
24±0,5 |
Грунтовка для напольных покрытий, связующее вещество для защиты от коррозии |
|
|
Преполимеры на РMDI Коричневая прозрачная жидкость без видимых посторонних включений |
|||||
|
ЭТМ-Р33 |
4100-6700 |
0,95-1,2 |
16±1 |
Связующий компонент для однокомпонентных покрытий, отверждаемых влагой, таких как грунтовки и герметики |
|
|
ЭТМ Р31 |
4100-6700 |
0,95-1,2 |
15±1 |
Выступает в роли связующего агента для антикоррозийных систем |
|
|
ЭТМ Р32
|
3000±500 |
1,0-1,3 |
8,0 ± 0,5 |
Для получения полиуретановых покрытий и клеев с повышенной эластичностью, как в однокомпонентном, так и в двухкомпонентном варианте |
|
|
ЭТИ P39
|
500±200 |
0,95-1,3 |
24±0,5 |
Продукт для обработки пола, обладающий связующими и антикоррозийными свойствами |
|
|
ЭТМ Р626
|
300±100 |
0,95-1,3 |
25±0,5 |
Для создания двухкомпонентных покрытий и герметиков |
|
|
ЭТМ-Р3376
|
2500±1000 |
0,95-1,3 |
10±0,5 |
Используется в качестве компонента для однокомпонентных влагоотверждаемых клеев без растворителей |
|
|
ЭТМ-Р3762
|
3000±1000 |
0,95-1,3 |
15±1 |
Используемый в качестве связующего вещества для создания быстроотверждаемых однокомпонентных покрытий и клеев |
|
|
Преполимеры на ТDI Прозрачная жидкость от бесцветного до слегка желтоватого цвета, с резким запахом |
|||||
|
ЭТМ TD-15E |
7000±1000 |
0,95-1,2 |
4,4±0,5 |
Используется в составе эластичных покрытий. Может использоваться для создания высокореактивных двухкомпонентных систем для эластичных покрытий с высокой укрывистостью |
|
|
Преполимеры на НDI Представляет из себя бесцветную или желтоватую вязкую жидкорсть |
|||||
|
ЭТМ-А45
|
9000±1500 |
1,1-1,25 |
4.0±0,5 |
для создания гибких покрытий и мембран, стойких к ультрафиолетовому воздействию |
|
Заключение
Форполимеры полиуретанов представляют собой краеугольный камень в создании широкого спектра полимерных материалов с разнообразными свойствами и применениями. Они являются не просто промежуточными продуктами синтеза, а скорее, стратегическими строительными блоками, позволяющими тонко настраивать структуру и характеристики конечного полиуретана.
В ходе рассмотрения темы форполимеров полиуретанов, стало очевидным, что их значимость обусловлена несколькими ключевыми факторами:
- Контролируемость и предсказуемость: Использование форполимеров дает возможность осуществлять более точный контроль над процессом полимеризации, минимизируя нежелательные побочные реакции и обеспечивая более предсказуемые свойства конечного продукта. Это особенно важно при производстве специализированных полиуретанов, требующих строгих допусков и соответствия определенным требованиям.
- Гибкость в конструировании полимерных систем: Форполимеры предоставляют широкие возможности для создания сложных полимерных архитектур, включая сшитые сети, градиентные материалы и многофазные композиты. Варьируя тип и состав полиола и изоцианата, а также условия синтеза форполимера, можно целенаправленно модифицировать такие свойства, как эластичность, прочность, адгезия, химическая стойкость и термостойкость.
- Технологическая эффективность: Использование форполимеров упрощает процесс производства полиуретановых изделий, особенно в тех случаях, когда необходимо точное дозирование и смешивание реагентов. Это позволяет повысить производительность и снизить затраты.
- Адаптивность к новым вызовам: Форполимеры полиуретанов играют важную роль в разработке новых полиуретановых материалов, отвечающих современным требованиям устойчивого развития и экологической безопасности. Использование биоразлагаемых полиолов, возобновляемых ресурсов и разработка водоразбавляемых полиуретановых дисперсий на основе форполимеров открывают новые перспективы для создания экологически чистых и устойчивых полимерных материалов.
В заключение, можно утверждать, что форполимеры полиуретанов являются не просто технологическим инструментом, а скорее, движущей силой инноваций в области полимерной химии и технологии. Их гибкость, контролируемость и адаптивность позволяют создавать полиуретановые материалы с уникальными свойствами и широким спектром применений, от комфортных матрасов и износостойких покрытий до современных медицинских имплантатов и экологически чистых упаковочных материалов. Продолжение исследований и разработок в области форполимеров полиуретанов позволит и дальше расширять границы возможного и создавать новые, улучшенные полимерные материалы, отвечающие будущим потребностям общества.



